Malatya'da 1500 kişilik yeni TYP başvurusu açıldı.
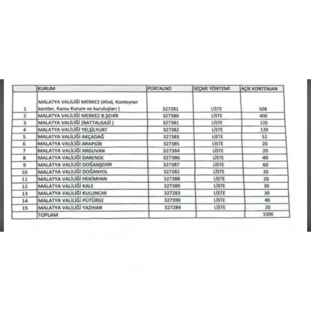
MALATYA VALİLİĞİ İLE İŞBİRLİĞİ KAPSAMINDA 1500 KİŞİLİK TYP BAŞVURULARINA İLİŞKİN OLARAK. İLGİLİ TABLO EKTEDİR.
SEÇMELER LİSTE YÖNTEMİ İLE YAPILACAKTIR.
TYP BAŞVURU BAŞLANGIÇ: 12/06/2025 TARİHİNDE BAŞLAYIP
16/06/2025 TARİHLERİ ARASINDA OLACAKTIR İLAN SÜRESİ 5 (BEŞ)GÜN
Bu TYP' ler 23.06.2025-19.12.2025 Tarihleri arasında uygulanacaktır(6 ay)
TYP ye başvurmak isteyen kişiler www.iskur.gov.tr e-sube üzerinden ve
ALO 170 üzerinden başvurular alınacaktır.
Genel Şartlar
TYP 'ye başvuracak katılımcıların, İl Müdürlüğüne/Hizmet Merkezine kayıtlı işsiz durumunda olmaları; en az 18 yaşını tamamlamış olmaları; Emekli, SGK, Bağ-Kur'lu almamaları gerekmektedir.
Özel Şartlar
1-19 yaş ve üzeri işsizler başvurabilecektir.
2-İŞKUR sistemi üzerinden başvurusu olmayanlar kesinlikle seçmelere katılamayacaklardır.
3-Sağlık durumu yapılacak işin niteliğine göre çalışabilecek durumda olmak.
4-Bu TYP ye başvurabilmek için İl ve İlçe sınırları içinde ikamet şartı aranmaktadır.
5-Daha önce Kurs/Programlara katılıp kendilerine herhangi bir yaptırım uygulanmıyor olmak.
6-Başvuru tarihi itibarıyla Aktif SGK'sının olmaması ve başvuru tarihinden en az bir gün önceden SGK çıkışının olması.
7- Hane geliri Asgari ücretinin 1,5 katını geçen projeye katılamaz.
TYP devam ederken katılım şartlarını taşımadığı belirlenen kişilerin TYP ile ilişiği kesilir ve bu kişiler son yararlanma tarihi üzerinden YİRMİDÖRT
ay geçmedikçe yeni bir TYP' ye başvuramazlar.
8- LISTE yöntemiyle seçmeler yapılacaktır. : ASİL OLARAK SEÇİLENLER YÜKLENİCİ KURUM TARAFINDAN ARANACAKTIR.
9-Asıl olarak seçilen kişiler ilgili kurumlar tarafından aranılarak başlatılacaktır.
10- Aynı Hanede İkamet edenler den yalnızca bir kişi çalışabilir.
11-TYP'ye başvuracak katılımcıların, herhangi bir öğretim kurumunda öğrenci olmamaları (açıköğretim öğrencileri hariç);
12 Bu TYP programında 9 ay çalışma kuralı uygulanacaktır. (daha önceki TYP programında çalışan katılımcılar bu programda dokuz aydan kalan süre kadar yararlanabilir.)





